Berat Wf 250x125x6x9. 300 x 300 x 10.0 x 15. Tetapi untuk menghitung berat besi h beam, wf dan canal menurut beberapa artikel di web yang saya baca biasanya digunakan teknik pengujian berapa berat besi dalam 1 m panjang untuk mengetahui berat besi dengan profil tersebut. Tabel berat besi baja h beam. Dengan perhitungan sederhana, panjul dapat mengetahui berat sendiri balok baja wf 250x125x6x9 tanpa membuka tabel gunung garuda, yaitu dengan mengalikan luas penampang dengan panjang bentang dan berat jenis baja 7850 kg/m^3, maka didapatkan angka 28.59 kg/m atau 0.2859 kn/m.
Brosur Wf Gunung Garuda Goresan From tribunnewss.github.io
Cara membaca tabel berat besi baja wf ( wide flange) diatas adalah : Daftar tabel baja wf terbaru 2022 : Cara membaca tabel berat besi baja wf ( wide flange) diatas adalah : Berat dalam tabel baja wf jenis sni yang paling berat berkisar di angka 2.500 kilogram, dengan berat per meternya sekitar 210 kilogram. Tabel berat besi baja kanal c/ cnp. Tetapi untuk menghitung berat besi h beam, wf dan canal menurut beberapa artikel di web yang saya baca biasanya digunakan teknik pengujian berapa berat besi dalam 1 m panjang untuk mengetahui berat besi dengan profil tersebut.
#1 pusat material besi, harga retail & partai.
Biasanya banyak orang mencari, atau download tabel baja lengkap untuk menghitung berat besi dengan ukuran yang presisi dan spesifik, seperti download tabel baja lengkap dengan profil plat, lingkaran dan pipa bagi para. Daftar tabel baja wf terbaru 2022 : Cara membaca tabel berat besi baja wf ( wide flange) diatas adalah : Cara mengetahui berat besi wf. Material t l a dia. Berat 112 kilogram, maka anda bisa mendapatkan besi dengan panjang 12 meter ataupun menyesuaikan.
Source: ptsupermaterial.blogspot.com
Artinya dimensi besi wf tersebut adalah : Untuk menghitung berat besi dengan ukuran yang presisi dan spesifik, seperti besi dengan profil plat, lingkaran dan pipa bagi para engineer dan pelaku teknik menghitungnya bisa menggunakan berbagai rumus matematik yang ada. Tetapi untuk menghitung berat besi h beam, wf dan canal menurut beberapa artikel di web yang saya baca biasanya digunakan teknik pengujian. Harga besi baja wf 250x125x6x9 | kami dari perusahaan distributor besi baja memberikan kemudahan untuk anda yang membutuhan material besi baja wf dengan berbagai ukuran dan berat yang anda butuhkan sesuai perhitungan yang anda miliki, kami menjual material besi baja wf kualitas terbaik dengan harga yang murah. Berat dalam tabel baja wf jenis sni yang paling berat berkisar di angka 2.500 kilogram, dengan berat per meternya sekitar 210 kilogram.
Source: nazar.id
Baiklah mungkin hanya ini saja yang dapat ahlikuli.com sampaikan, semoga bermanfaat dan menambah wawasan kalian semua. Untuk yang mencari baja dengan berat yang lebih tinggi, tersedia berat sekitar 256 kilogram dengan panjang 12 meter. Artinya dimensi besi wf tersebut adalah : Berat 112 kilogram, maka anda bisa mendapatkan besi dengan panjang 12 meter ataupun menyesuaikan. 7 * gording cnp 125x50x20x2.3 penutup atap :
Source: tribunnewss.github.io
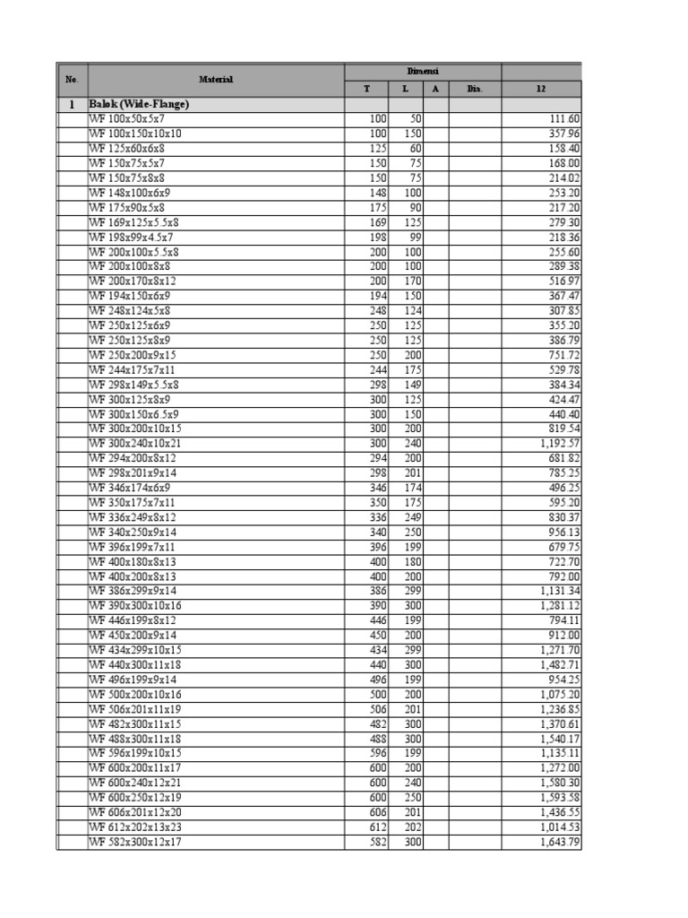
Tabel berat besi baja kanal c/ cnp. Artinya dimensi besi wf tersebut adalah : Jenis tabel yang satu ini biasa digunakan oleh industri atau supplier penyedia baja. Mempunyai berat total 112 kg. Di bawah ini kami sajikan beberapa tabel berat material komponen konstruksi baja.
Source: tribunnewss.github.io
Daftar tabel baja wf terbaru 2022 : Tetapi untuk menghitung berat besi h beam, wf dan canal menurut beberapa artikel di web yang saya baca biasanya digunakan teknik pengujian berapa berat besi dalam 1 m panjang untuk mengetahui berat besi dengan profil tersebut. 7 * gording cnp 125x50x20x2.3 penutup atap : Dengan perhitungan sederhana, panjul dapat mengetahui berat sendiri balok baja wf 250x125x6x9 tanpa membuka tabel gunung garuda, yaitu dengan mengalikan luas penampang dengan panjang bentang dan berat jenis baja 7850 kg/m^3, maka didapatkan angka 28.59 kg/m atau 0.2859 kn/m. Cara membaca tabel berat besi baja wf ( wide flange) diatas adalah :
Source: tribunnewss.github.io
Tetapi untuk menghitung berat besi h beam, wf dan canal biasanya digunakan teknik pengujian berapa berat besi dalam 1 m panjang. Cara membaca tabel berat besi baja wf ( wide flange) diatas adalah : 300 x 300 x 10.0 x 15. Sebagai contohnya kita ambil pada salah satu spesifikasi ukuran besi. Cara membaca tabel berat besi baja wf ( wide flange) diatas adalah :
Source: jurussiswa.blogspot.com
Harga besi baja wf 250x125x6x9 | kami dari perusahaan distributor besi baja memberikan kemudahan untuk anda yang membutuhan material besi baja wf dengan berbagai ukuran dan berat yang anda butuhkan sesuai perhitungan yang anda miliki, kami menjual material besi baja wf kualitas terbaik dengan harga yang murah. Baiklah mungkin hanya ini saja yang dapat ahlikuli.com sampaikan, semoga bermanfaat dan menambah wawasan kalian semua. Tabel berat besi baja h beam. Kami distributor besi baja wide flange indonesia menjual dan melayani pengiriman baja wide flange wf, besi beton, baja, baja ringan, dan tools ke berbagai daerah, diantaranya: Daftar tabel baja wf terbaru 2022 :
Source: jembatantimbang.id
Yakni 100 x 50 x 5 x 7 mm 12 meter 112 kg dan 9,333. Tetapi untuk menghitung berat besi h beam, wf dan canal menurut beberapa artikel di web yang saya baca biasanya digunakan teknik pengujian berapa berat besi dalam 1 m panjang untuk mengetahui berat besi dengan profil tersebut. Terlebih lagi berat besi wf ini akan sangat berpengaruh dengan daftar harga yang ada di pasaran. 200x100x5,5x8 12 256 21.333 9 wf 248x124x5x8 12 308 25.700 10 wf 250x125x6x9 12 355 29.600 11 wf 298x149x6x8 12 384 32.000 12 wf 300x150x6,5x9 12 440 36.700 13 wf 346x174x6x9 12 497 41.417 14 wf 350x175x7x11 12 595 49.600 15 wf 396x199x7x11 12 680 56.625 16 wf 400x200x8 x13 12 792 66.000 17 wf 446x199x8x12 12. Jenis tabel yang satu ini biasa digunakan oleh industri atau supplier penyedia baja.
Source: ahlikuli.com
Material t l a dia. Artinya dimensi besi wf tersebut adalah : Berat dalam tabel baja wf jenis sni yang paling berat berkisar di angka 2.500 kilogram, dengan berat per meternya sekitar 210 kilogram. Diameter berat kg/m dimensi berat satuan luasan no. 7 * gording cnp 125x50x20x2.3 penutup atap :
Source: galerybajaindo.blogspot.com
Artinya dimensi besi wf tersebut adalah : Berat per m adalah 112/12 yaitu 9.333 kg. Besi wf ini memiliki kepadatan yang tinggi sehingga tidak akan terlalu berat dalam kapasitas muat beban tetapi memberikan bentuk struktur bahan atau konstruksi yang kegunaannya menjadi lebih efisien. Tetapi untuk menghitung berat besi h beam, wf dan canal biasanya digunakan teknik pengujian berapa berat besi dalam 1 m panjang. Cara mengetahui berat besi wf.
Source: tribunnewss.github.io
Daftar tabel baja wf terbaru 2022 : Jenis tabel yang satu ini biasa digunakan oleh industri atau supplier penyedia baja. Biasanya banyak orang mencari, atau download tabel baja lengkap untuk menghitung berat besi dengan ukuran yang presisi dan spesifik, seperti download tabel baja lengkap dengan profil plat, lingkaran dan pipa bagi para. Tetapi untuk menghitung berat besi h beam, wf dan canal menurut beberapa artikel di web yang saya baca biasanya digunakan teknik pengujian berapa berat besi dalam 1 m panjang untuk mengetahui berat besi dengan profil tersebut. Berat 112 kilogram, maka anda bisa mendapatkan besi dengan panjang 12 meter ataupun menyesuaikan.
Source: tribunnewss.github.io
Baca juga supplier besi baja wf. Terlebih lagi berat besi wf ini akan sangat berpengaruh dengan daftar harga yang ada di pasaran. #1 pusat material besi, harga retail & partai. Tabel berat besi baja wf ( wide flange ) no. Cara membaca tabel berat besi baja wf ( wide flange) diatas adalah :
Source: jembatantimbang.id
Mempunyai berat total 112 kg. Cara membaca tabel berat besi baja wf ( wide flange) diatas adalah : Besi hollow galvanis, pipa besi galvanis, sambungan fitting besi. Tetapi untuk menghitung berat besi h beam, wf dan canal menurut beberapa artikel di web yang saya baca biasanya digunakan teknik pengujian berapa berat besi dalam 1 m panjang untuk mengetahui berat besi dengan profil tersebut. Baca juga supplier besi baja wf.
Source: tribunnewss.github.io
Di bawah ini kami sajikan beberapa tabel berat material komponen konstruksi baja. Berat dalam tabel baja wf jenis sni yang paling berat berkisar di angka 2.500 kilogram, dengan berat per meternya sekitar 210 kilogram. 7 * gording cnp 125x50x20x2.3 penutup atap : Tabel berat besi baja wf ( wide flange ) no. Mempunyai berat total 112 kg.
Source: tribunnewss.github.io
Berat dalam tabel baja wf jenis sni yang paling berat berkisar di angka 2.500 kilogram, dengan berat per meternya sekitar 210 kilogram. Baiklah mungkin hanya ini saja yang dapat ahlikuli.com sampaikan, semoga bermanfaat dan menambah wawasan kalian semua. Untuk menghitung berat besi dengan ukuran yang presisi dan spesifik, seperti besi dengan profil plat, lingkaran dan pipa bagi para engineer dan pelaku teknik menghitungnya bisa menggunakan berbagai rumus matematik yang ada. Tabel berat besi baja h beam. Biasanya banyak orang mencari, atau download tabel baja lengkap untuk menghitung berat besi dengan ukuran yang presisi dan spesifik, seperti download tabel baja lengkap dengan profil plat, lingkaran dan pipa bagi para.
Source: pendidikansiswasekolahku.blogspot.com
Tabel berat besi baja h beam. Cara membaca tabel berat besi baja wf ( wide flange) diatas adalah : Biasanya banyak orang mencari, atau download tabel baja lengkap untuk menghitung berat besi dengan ukuran yang presisi dan spesifik, seperti download tabel baja lengkap dengan profil plat, lingkaran dan pipa bagi para. Baca juga supplier besi baja wf. Material t l a dia.
Source: id.scribd.com
Jenis tabel yang satu ini biasa digunakan oleh industri atau supplier penyedia baja. Harga besi baja wf 250x125x6x9 | kami dari perusahaan distributor besi baja memberikan kemudahan untuk anda yang membutuhan material besi baja wf dengan berbagai ukuran dan berat yang anda butuhkan sesuai perhitungan yang anda miliki, kami menjual material besi baja wf kualitas terbaik dengan harga yang murah. Tetapi untuk menghitung berat besi h beam, wf dan canal menurut beberapa artikel di web yang saya baca biasanya digunakan teknik pengujian. Artinya dimensi besi wf tersebut adalah : Sebagai contohnya kita ambil pada salah satu spesifikasi ukuran besi.
Source: tribunnewss.github.io
Material t l a dia. Artinya dimensi besi wf tersebut adalah : Baca juga supplier besi baja wf. Berat 112 kilogram, maka anda bisa mendapatkan besi dengan panjang 12 meter ataupun menyesuaikan. Artinya dimensi besi wf tersebut adalah :
Source: tribunnewss.github.io
Di bawah ini kami sajikan beberapa tabel berat material komponen konstruksi baja. Dimana baja wf ini menjadi salah satu besi yang punya kekuatan tinggi baik itu pada tekanan ataupun tarikan. Sebagai contohnya kita ambil pada salah satu spesifikasi ukuran besi. Cara membaca tabel berat besi baja wf ( wide flange) diatas adalah : Berat per m adalah 112/12 yaitu 9.333 kg.
This site is an open community for users to share their favorite wallpapers on the internet, all images or pictures in this website are for personal wallpaper use only, it is stricly prohibited to use this wallpaper for commercial purposes, if you are the author and find this image is shared without your permission, please kindly raise a DMCA report to Us.
If you find this site convienient, please support us by sharing this posts to your favorite social media accounts like Facebook, Instagram and so on or you can also save this blog page with the title berat wf 250x125x6x9 by using Ctrl + D for devices a laptop with a Windows operating system or Command + D for laptops with an Apple operating system. If you use a smartphone, you can also use the drawer menu of the browser you are using. Whether it’s a Windows, Mac, iOS or Android operating system, you will still be able to bookmark this website.




